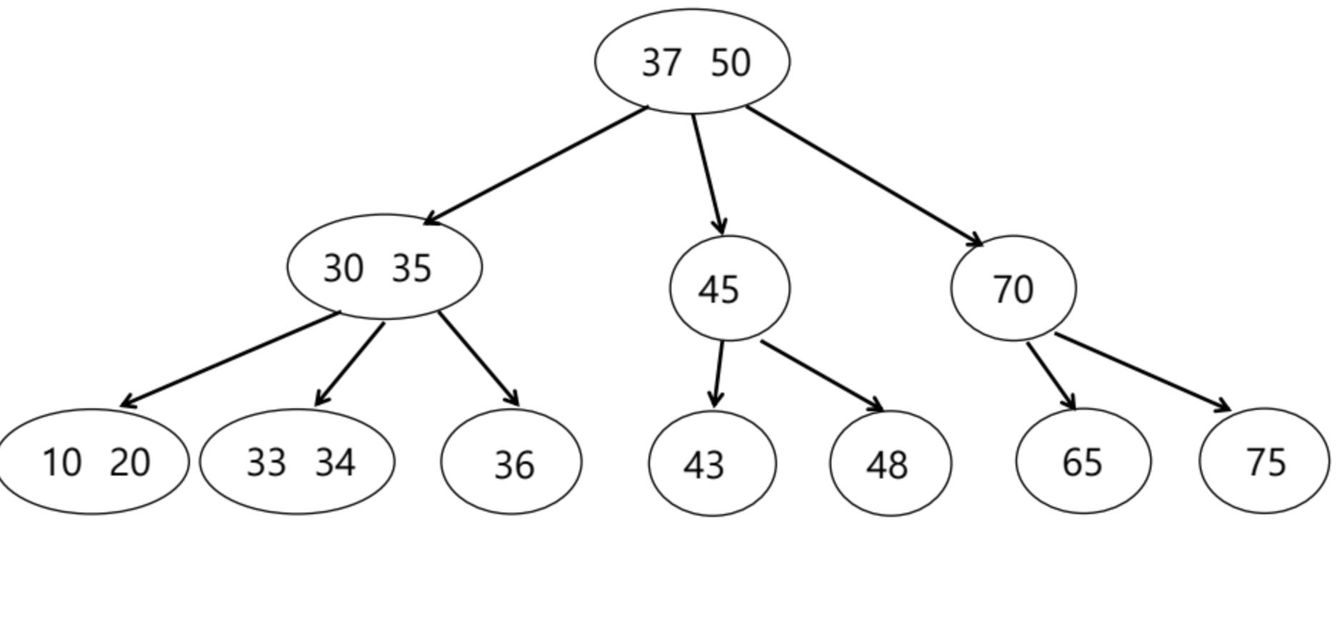
2-3Tree: 이진탐색트리의 한 종류 (perfectly balanced)
노드의 종류가 2 node와 3 node로 두 개 있다.
시간복잡도: 2 node -> O(log2n), 3 node -> O(log3n)
2-3 tree의 조건 1: -1 <= BF <= 1
BF: 왼쪽 subtree의 height(높이) - 오른쪽 subtree의 height
->왼쪽과 오른쪽 subtree의 균형을 맞추어 주기 위한 목적
->왼쪽과 오른쪽의 height의 차이 즉, BF의 절대값이 클수록 노드 탐색 시간이 길어지기 때문이다
2-3 tree의 조건2: 2-node는 1개의 key, 2개의 child를 가진다.
3-node는 2개의 key, 3개의 child를 가진다.

struct node
{
int key1;
int key2; //2-node의 key2는 NULL 값을 갖는다.
struct node *left_child;
struct node *middle_child; //2-node의 middle_child는 NULL 값을 갖는다.
struct node *right_child;
};
| [자료구조] 그래프(graph) 기본 개념/용어 정리 (0) | 2022.06.28 |
|---|---|
| [자료구조] 이진탐색트리(binary search tree) - T-tree (0) | 2022.04.11 |
| [자료구조] 이진탐색트리(binary search tree) (0) | 2022.04.11 |
| [자료구조] 트리(tree) 용어 정리하기 (0) | 2022.04.11 |
| [자료구조] 이진트리(binary tree)의 기본 개념 (0) | 2022.04.11 |
댓글 영역