
binary tree: leaf 노드를 제외한 모든 노드의 자식의 수가 최대 2개인 트리
특징: i번째 level의 최대 노드 개수는 2^(i-1)이다.
height가 h인 트리가 가질 수 있는 노드의 최대 개수는 (2^h) - 1이다.
struct node
{
int data;
struct node *left_child;
struct node *right_child;
};
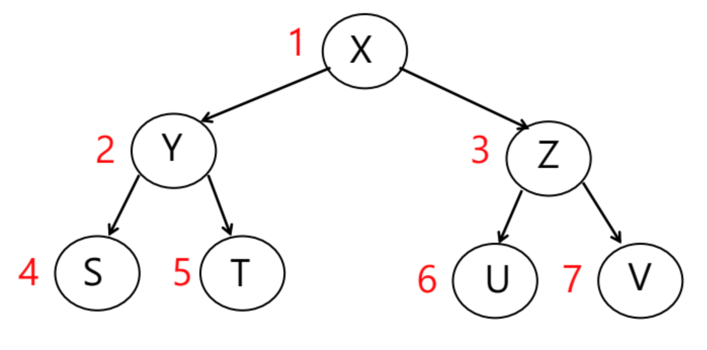
full binary tree: leaf node와 root를 제외한 모든 노드의 child가 2개인 트리

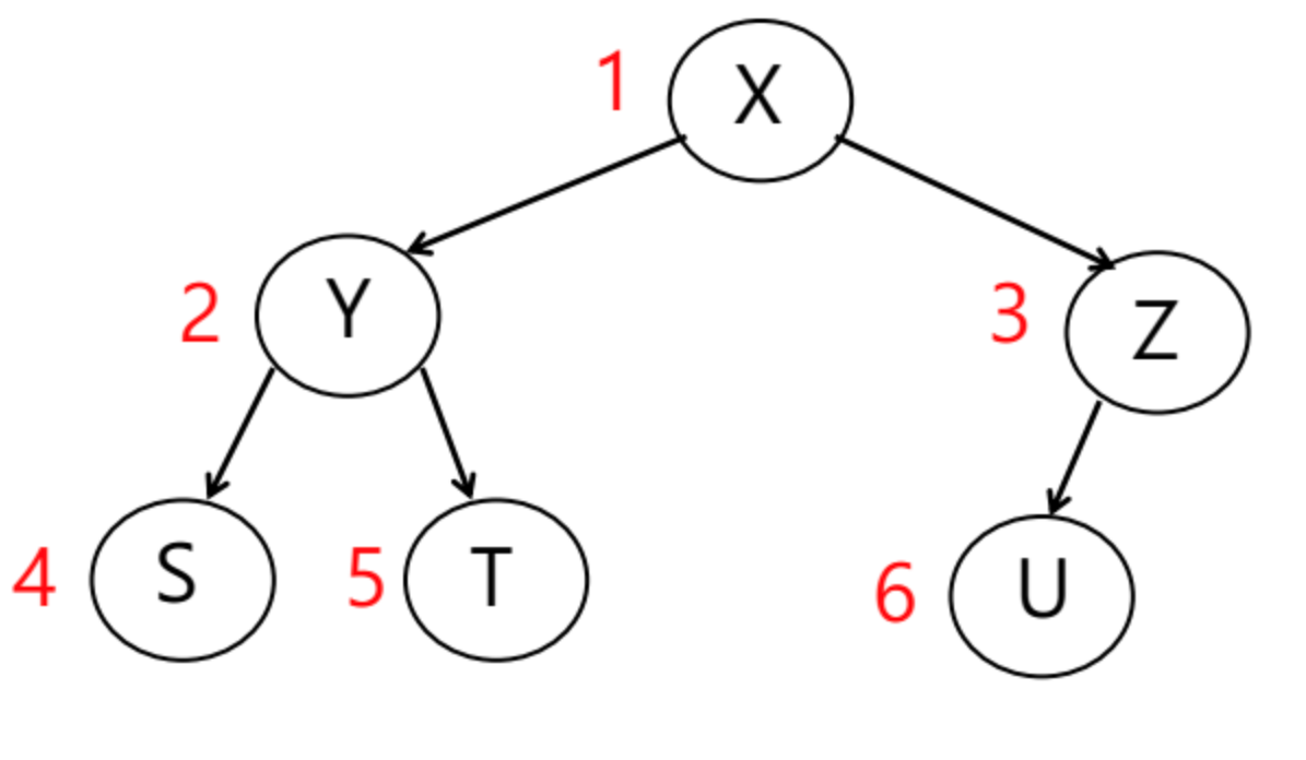
complete binary tree: 가장 오른쪽 interior 노드의 right child만 없고, leaf node와 root를 제외한 모든 노드의 child가 2개인 트리

| [자료구조] 이진탐색트리(binary search tree) (0) | 2022.04.11 |
|---|---|
| [자료구조] 트리(tree) 용어 정리하기 (0) | 2022.04.11 |
| [자료구조] 이진탐색트리(binary search tree) - AVL tree (0) | 2022.03.28 |
| [자료구조] 트리 탐색(tree traversal) 방법- inorder traverse, postorder traverse, preorder traverse, level order traversal (0) | 2022.03.18 |
| [자료구조] linked list로 큐(queue) 구현하기 (0) | 2022.03.13 |
댓글 영역