그래프는 node와 edge로 이루어진다.
edge에는 undirected edge, directed edge, weighted edge 가 있다.
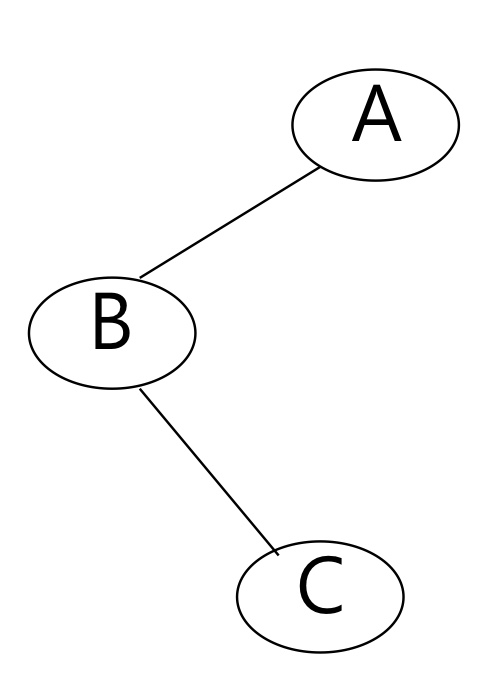
undirected edge (and unweighted)

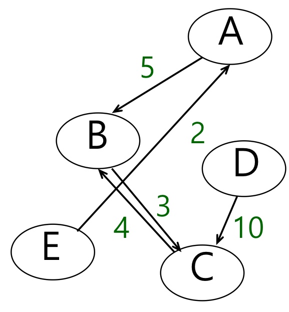
directed edge (and weighted)

weighted edge

-용어
subgraph: 그래프의 한 부분(그래프의 특성을 가지고 있는)
connected graph: 모든 노드가 다른 모든 노드로 접근이 가능한 그래프
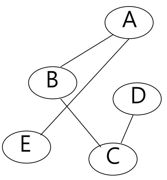
disconnected graph: 최소 하나의 노드가 다른 모든 노드로 접근이 불가능한 그래프
adjacent node: 두 노드 사이에 edge로 곧바로 연결된 것
complete graph: 모든 노드가 다른 모든 노드로부터 인접한 것(edge로 곧바로 연결된 것)
-예제
connected graph

adjacent nodes
A, B
A, E
B, C
C, D
subgraph

disconnected graph

complete graph

-용어
path: edge의 순서 (from node A to node B)
cycle: 시작 노드로 다시 돌아오는 path
cyclic path: cycle을 가진 그래프
acyclic path: cycle이 없는 그래프
cyclic graph

acyclic graph

| [자료구조] 백준 1927번: 최소 힙 (0) | 2022.07.04 |
|---|---|
| [자료구조] spanning tree (sub graph) (0) | 2022.07.01 |
| [자료구조] 이진탐색트리(binary search tree) - T-tree (0) | 2022.04.11 |
| [자료구조] 이진탐색트리(binary search tree) - 2-3 Tree (0) | 2022.04.11 |
| [자료구조] 이진탐색트리(binary search tree) (0) | 2022.04.11 |
댓글 영역