쿼드트리 특징
-degree가 4인 트리(각 사분면에 속하는 요소가 한 개일때까지 나눈다)
-performance: O(log4n)
-불균형 트리

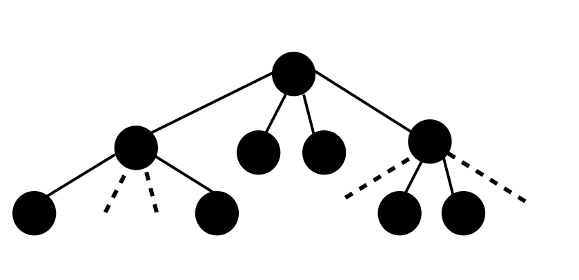
위의 쿼드 트리의 노드를 각 사분면 별로 mapping해서 트리형식으로 표현하면 아래와 같다. (왼쪽부터 차례대로 1,2,3,4사분면)
쿼드트리에서 root노드는 실제로 존재하지 않지만 mapping하여 표현할 때는 root노드를 그려준다.

나뉘어진 사분면의 개수와 각 사분면에 있는 1의 개수를 세는 함수이다.
char graph[25][25];
int region[625] = { 0, };
int quad(int i, int j, int n, int cnt)
{
graph[i][j] = 0;
region[cnt]++;
if (i - 1 >= 0 && graph[i - 1][j] == '1')
quad(i - 1, j, n, cnt);
if (i + 1 < n && graph[i + 1][j] == '1')
quad(i + 1, j, n, cnt);
if (j - 1 >= 0 && graph[i][j - 1] == '1')
quad(i, j - 1, n, cnt);
if (j + 1 < n && graph[i][j + 1] == '1')
quad(i, j + 1, n, cnt);
return 0;
}
| [자료구조] Dijkstra's algorithm (0) | 2022.07.11 |
|---|---|
| [자료구조] minimum spanning tree - prim's algorithim, kruskal's algrithm (0) | 2022.07.04 |
| [자료구조] 백준 1927번: 최소 힙 (0) | 2022.07.04 |
| [자료구조] spanning tree (sub graph) (0) | 2022.07.01 |
| [자료구조] 그래프(graph) 기본 개념/용어 정리 (0) | 2022.06.28 |
댓글 영역