오늘은 코딩도장 53.6 심사문제 풀이를 해보겠습니다.
<문제>표준 입력으로 x, y 좌표 4개가 입력되어 Point2D 구조체 배열에 저장됩니다. 여기서 점 4개는 첫 번째 점부터 마지막 점까지 순서대로 이어져 있습니다. 다음 소스 코드를 완성하여 첫 번째 점부터 마지막 점까지 연결된 선의 길이가 출력되게 만드세요.
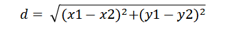
두 점 사이의 길이를 구하는 공식을 이용하면 이 문제를 해결할 수 있습니다.

이 문제에는 두 점이 4쌍, 즉 (x,y)가 4개 있고 첫 번째 점부터 마지막 점까지의 길이를 구해야 하므로 반복문을 이용해야 합니다.


더 짧은 코드로 작성할 수도 있습니다.

| [c언어] 코딩도장 67.6 재귀호출로 피보나치 수 구하기 문제풀이 (0) | 2021.06.30 |
|---|---|
| [c언어] 코딩도장 64.7 전치행렬 만들기 문제풀이 (0) | 2021.06.26 |
| [c언어] 코딩도장 47.6 N-gram만들기 문제 풀이 (0) | 2021.06.24 |
| [c언어] 코딩도장 45.8 특정 단어 개수 세기 문제 풀이 (0) | 2021.06.23 |
| [c언어] 코딩도장 44.7 공백 개수 세기 문제 풀이 (0) | 2021.06.22 |
댓글 영역